вычислить массу сульфата натрия образованного при нейтрализации 40 г твердой щелочи с 200г раствора 10% серной кислоты
Ответы
Ответ дал:
0
2naoh+h2so4 =na2so4+2h2o
n(naoh) =40/40=1
m(h2so4)=200*0.1 =20 г
n(h2so4)=20/50=0.4
в недостатке серная кислота
n(na2so4) = o.4
m na2so4 =103*0/4=41.2
n(naoh) =40/40=1
m(h2so4)=200*0.1 =20 г
n(h2so4)=20/50=0.4
в недостатке серная кислота
n(na2so4) = o.4
m na2so4 =103*0/4=41.2
Ответ дал:
0
....................
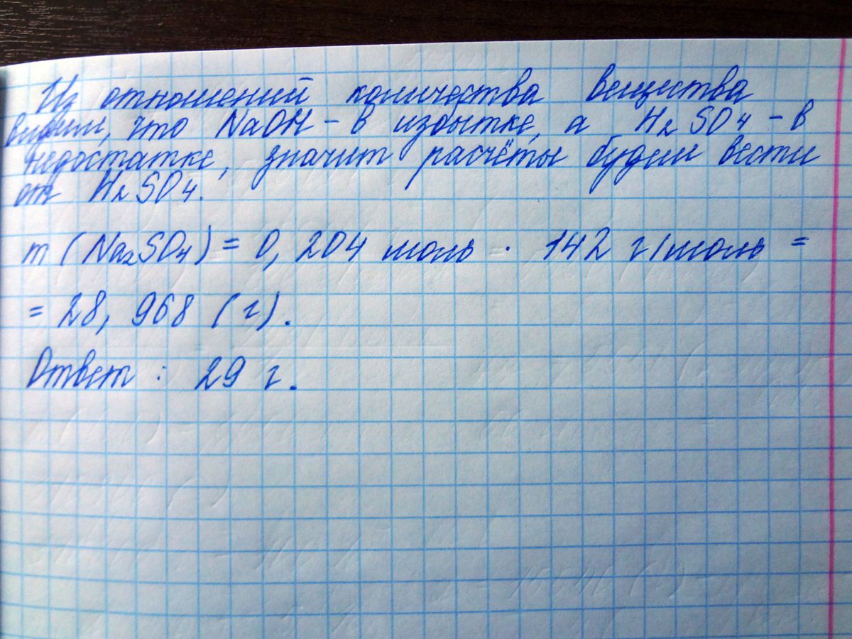
Приложения:


Вас заинтересует
2 года назад
2 года назад
7 лет назад
7 лет назад
10 лет назад
10 лет назад
10 лет назад