у туристов остановившихся на берегу реки осталось 30 миллилитров керосина. сколько воды они смогут вскипятить на примусе, если 50% энергии, выделившейся при сгорании керосина будет передано нагреваемой воде? температура воды в реке 10 градусов
Ответы
Ответ дал:
0
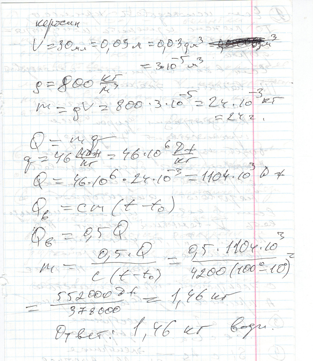
смотри записку..................
Приложения:
Ответ дал:
0
Q=m*c*(T1-T0)=0,5*V*ro*q
m - масса воды
с - теплоемкость воды удельная
Т1-конечная температура воды
Т0-начальная температура воды
V - объем керосина
ro - плотность керосина
q - удельная теплота сгорания керосина
m = 0,5*V*ro*q / (c*(T1-T0)) = 0,5*0,03*10^(-3)*820*40,8*10^6 / (4187*(100-10)) кг = 1,331741 кг ~ 1,3 кг
m - масса воды
с - теплоемкость воды удельная
Т1-конечная температура воды
Т0-начальная температура воды
V - объем керосина
ro - плотность керосина
q - удельная теплота сгорания керосина
m = 0,5*V*ro*q / (c*(T1-T0)) = 0,5*0,03*10^(-3)*820*40,8*10^6 / (4187*(100-10)) кг = 1,331741 кг ~ 1,3 кг
Приложения:
Ответ дал:
0
замечание - табличные данные я брал из интернета
Вас заинтересует
3 года назад
3 года назад
8 лет назад
11 лет назад
11 лет назад
11 лет назад