• Предмет: Алгебра
  • Автор: ule
  • Вопрос задан 11 лет назад

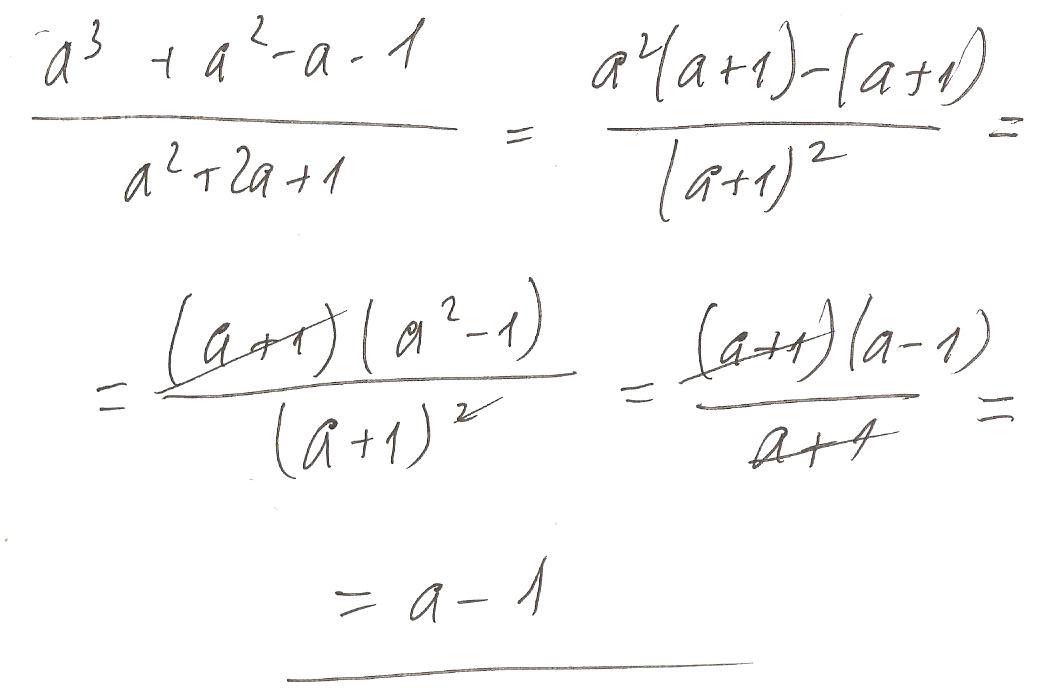
а³+а²-а-1

_________=   с решением) плииииз)

а²+2а+1

Ответы

Ответ дал: Artem112
0

надеюсь понятно будет...

Приложения:
Вас заинтересует