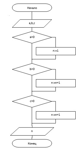
Задание. Составьте блок схему алгоритма решения задачи и программу на языке Turbo Pascal c использованием условного оператора.
Даны три целых числа.Найти кол-во положительных чисел в исходном наборе.
Ответы
Ответ дал:
0
var a,b,c,n:integer;
begin
readln(a,b,c);
if a>0 then n:=1;
if b>0 then n:=n+1;
if c>0 then n:=n+1;
writeln('Количество положительных: ',n);
readln
end.
Приложения:

Вас заинтересует
2 года назад
8 лет назад
8 лет назад
10 лет назад
10 лет назад
10 лет назад