• Предмет: Алгебра
  • Автор: patkko
  • Вопрос задан 10 лет назад

Как решать когда степень 1/2 или 1/4 к примеру 3^1/2 или 3^1/4 как решать помогите плз

Ответы

Ответ дал: na5om
0
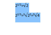
Степень с дробны показателем a/b: а- степень, в которую нужно возвести число, b - показатель корня, который нужно вычислить из этого числа.
Приложения:
Вас заинтересует