• Предмет: Алгебра
  • Автор: ilchist1996
  • Вопрос задан 10 лет назад

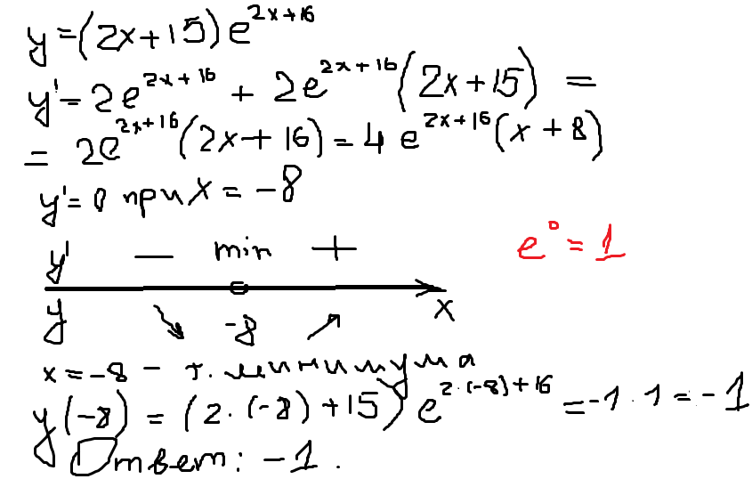
найдите наименьшее значение функции y=(2X+15)*e^2x+16

Ответы

Ответ дал: МудрыйЕвреюшка
0
выполняется при
2x+16=0 => x=-8
y(-8)=(-16+15)*e^0=-1
Ответ дал: Januar
0
Решение во вкладыше.
Приложения:
Вас заинтересует