Ответы
Ответ дал:
0
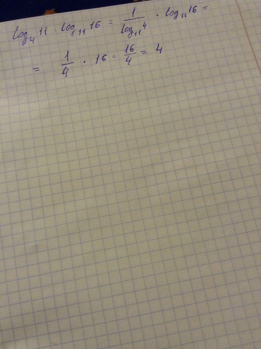
Наверное что то неправильно,поправьте меня если что
Приложения:

Ответ дал:
0
Логарифмы отбрасываются,отается 4 и 16.
Ответ дал:
0
Наверху формула перехода к другому основанию.
Внизу формула логарифм степени. Показатель р можно написать перед логарифмом.
Внизу формула логарифм степени. Показатель р можно написать перед логарифмом.
Приложения:

Ответ дал:
0
все-таки 2 :D, так лучше, спасибо))
Вас заинтересует
2 года назад
2 года назад
8 лет назад
8 лет назад
10 лет назад
10 лет назад
10 лет назад