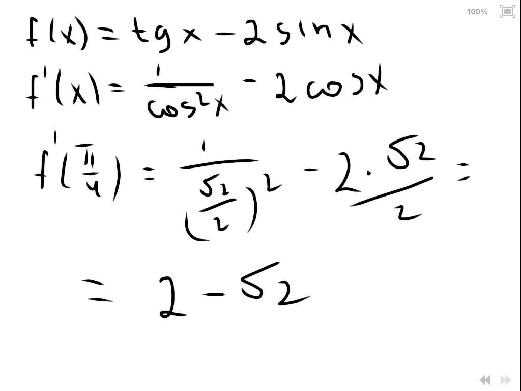
Найдите значение производной функции f(x)=tgx-2sinx при x= -(Пи/4)
Помогите пожалуйста, очень нужно
Ответы
Ответ дал:
0
Может быть так? = )
Приложения:

Вас заинтересует
2 года назад
2 года назад
7 лет назад
10 лет назад
10 лет назад