• Предмет: Алгебра
  • Автор: компотиик
  • Вопрос задан 10 лет назад

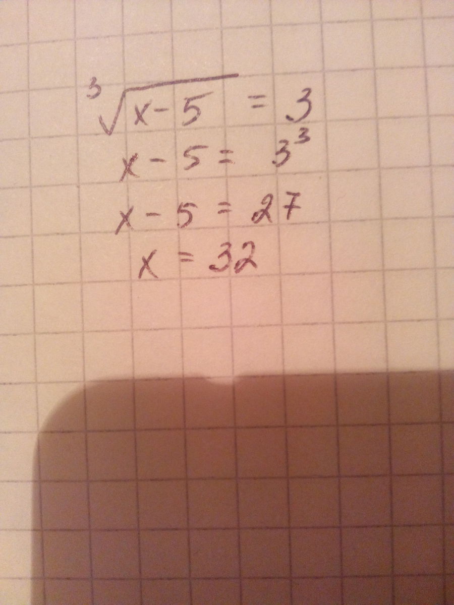
³х-5=3
объясните пожалуйста как решить!

Ответы

Ответ дал: Maya121998
0
...................................
Приложения:
Ответ дал: Maya121998
0
а после грамотея что
Ответ дал: Аноним
0
Светило науки
Ответ дал: Maya121998
0
ну кароче не судьба мне
Ответ дал: Аноним
0
 sqrt[3]{x-5} =3 \ x-5=3^3 \ x-5=27 \ x=27+5 \ x=32

Ответ: 32.
Приложения:
Вас заинтересует