• Предмет: Алгебра
  • Автор: Vikysi4ka
  • Вопрос задан 11 лет назад

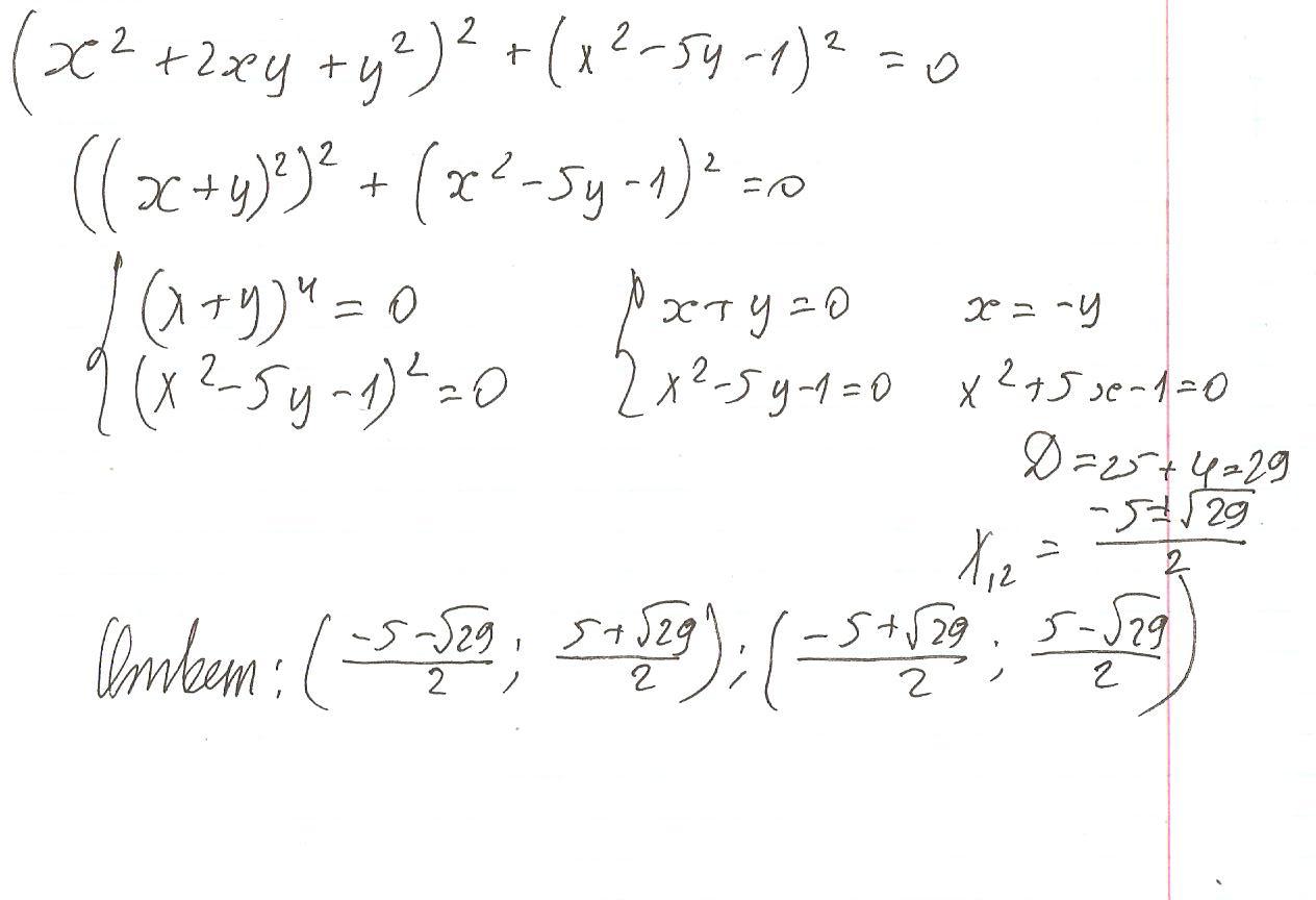
(x^2+2xy+y^2)^2+(x^2-5y-1)^2=0

Ответы

Ответ дал: Artem112
0

надеюсь понятно будет....

Приложения:
Вас заинтересует