• Предмет: Алгебра
  • Автор: sanyok1996
  • Вопрос задан 10 лет назад

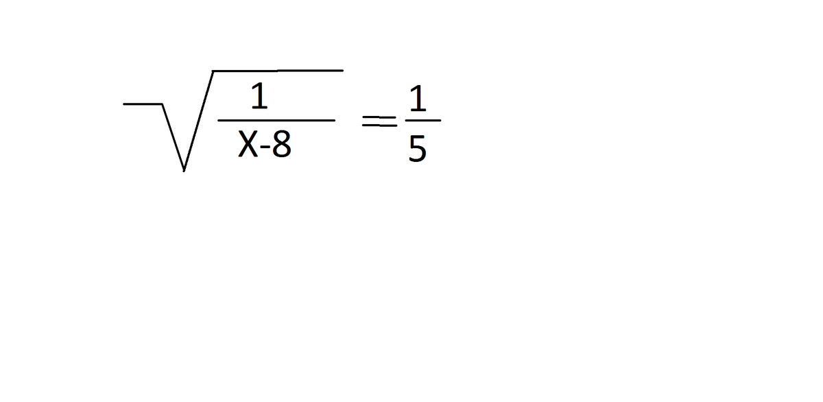
Проверьте пож уравнение!
Ответ 33 будет?

Приложения:

Ответы

Ответ дал: umzarema
0
все верно пиши ответ уверено
Вас заинтересует