• Предмет: Алгебра
  • Автор: seitokai
  • Вопрос задан 11 лет назад

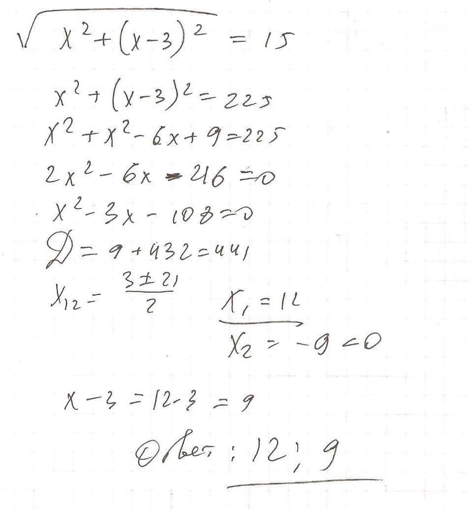
гипотенуза прямоугольного треугольника равна 15 см. Найдите катеты треугольника, если один из них на 3 см меньше другого катета.

 

Решается через дискриминант.

Ответы

Ответ дал: Artem112
0

надеюсь понятно будет....

Приложения:
Вас заинтересует