• Предмет: Геометрия
  • Автор: Violetta13
  • Вопрос задан 11 лет назад

Задачи:

1) Найдите углы образованные при пересечении двух параллельных прямых секущей, если а) один из углов равен 150 градусов, б)один из углов равен на 70 градусов больше другого.

2) Разность двух внутренних односторонних углов, образованнх параллельными прямыми и секущей равна 30 градусов. Найдите эти углы.

3) Угол АВС равен 80 градусов, а угол ВСД равен 120 градусов. Могут ли прямые АВ и СД быть параллельными?

Ответы

Ответ дал: Artem112
0

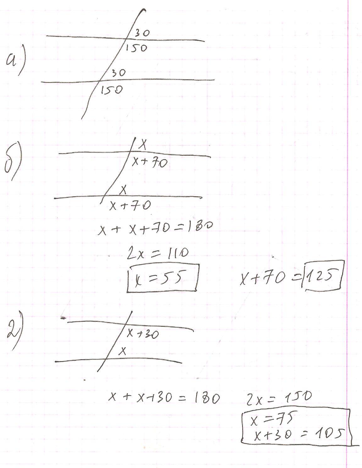
1 и 2 задания на картинке

3) чтобы прямые были параллельными надо чтобы накрест лежащие углы (в данном случае 120 и 80) были равны, они не равны, значит прямые не параллельны

Приложения:
Ответ дал: lbvf123
0

1)

а)180-150=30

б)х-один угол, х+70 - второй

х+х+70=180

2х=110

х=55 - один угол

55+70=125 - второй угол

 

2)х- один угол,х+30 - второй

х+х+30=180

2х=150

х=75 - один угол

75+30=105 - второй

 

3)Прямые будут параллельными, если сумма внутренних односторонних углов будет = 180 градусов. В нашем случае 120+80=200, т.е. прямые не параллельные.

Приложения:
Вас заинтересует