• Предмет: Алгебра
  • Автор: Vikysi4ka
  • Вопрос задан 11 лет назад

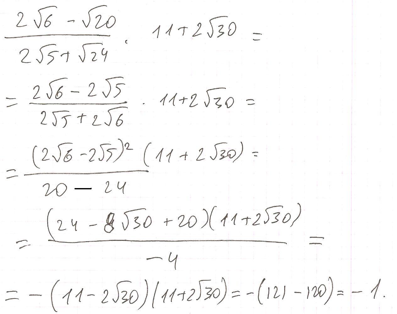
2корня из 6 -под корнем20

дробь

2корня из 5+под конем 24

все это помножить на 11+2 коня из 30 очень срочно

Ответы

Ответ дал: Artem112
0

надеюсь понятно будет....

Приложения:
Вас заинтересует