Ответы
Ответ дал:
0
√-7-4х=5
(√-7-4х)²=5²
-7-4х=25
-4х=25+7
-4х=32
х=32:(-4)
х=-8
Проверка:
√-7-4*(-8)=√-7+32=√25=5 верно
Ответ: х=-8
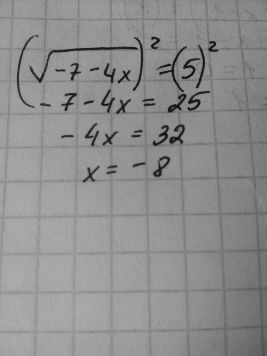
(√-7-4х)²=5²
-7-4х=25
-4х=25+7
-4х=32
х=32:(-4)
х=-8
Проверка:
√-7-4*(-8)=√-7+32=√25=5 верно
Ответ: х=-8
Ответ дал:
0
............................
Приложения:
Вас заинтересует
3 года назад
8 лет назад
10 лет назад
10 лет назад
11 лет назад
11 лет назад