• Предмет: Алгебра
  • Автор: Владик0211
  • Вопрос задан 10 лет назад

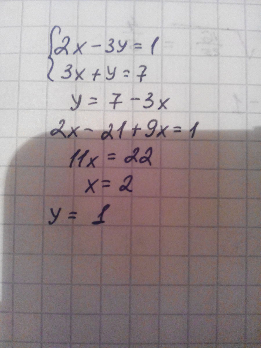
Решите систему уравнений 2х-3у=1 и 3х+у=7

Ответы

Ответ дал: Maya121998
0
..............................
Приложения:
Ответ дал: Elchin9
0
 left { {{2x-3y=1} atop {3x+y=7}} right. /*3

 left { {{2x-3y=1} atop {9x+3y=21}} right. 

 left { {{11x=22} 

x=2

2*2-3y=1

4-3y=1

-3y=-3

y=1


Приложения:
Вас заинтересует