Ответы
Ответ дал:
0
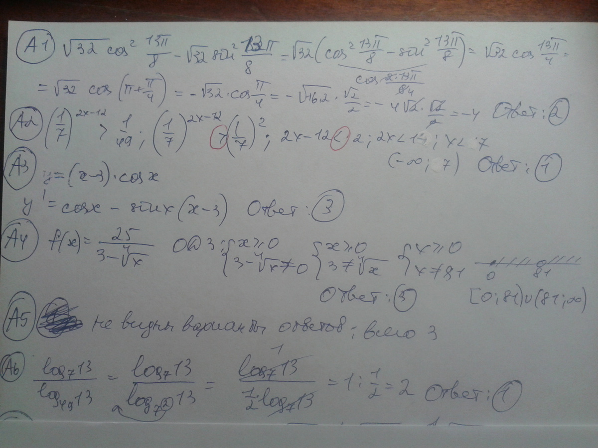
1)√32(сos²13π/8-sin²13π/8)=4√2*cos13π/4=4√2*(-cosπ/4)=4√2*(-√2/2)=-4 2
2)(1/7)^2x-12>(1/7)²
2x-12<2
2x<14
x<7
x∈(-≈;7) 1
3)y`=cosx-(x-3)sinx 3
4)3-
≠0 U x≥0
≠3
x≠81
x∈[0;81) U (81;≈) 3
5)2 1
6)1/log(13)7 :1/2log(13)7=1/log(13)7 * 2log(13)7=2 1
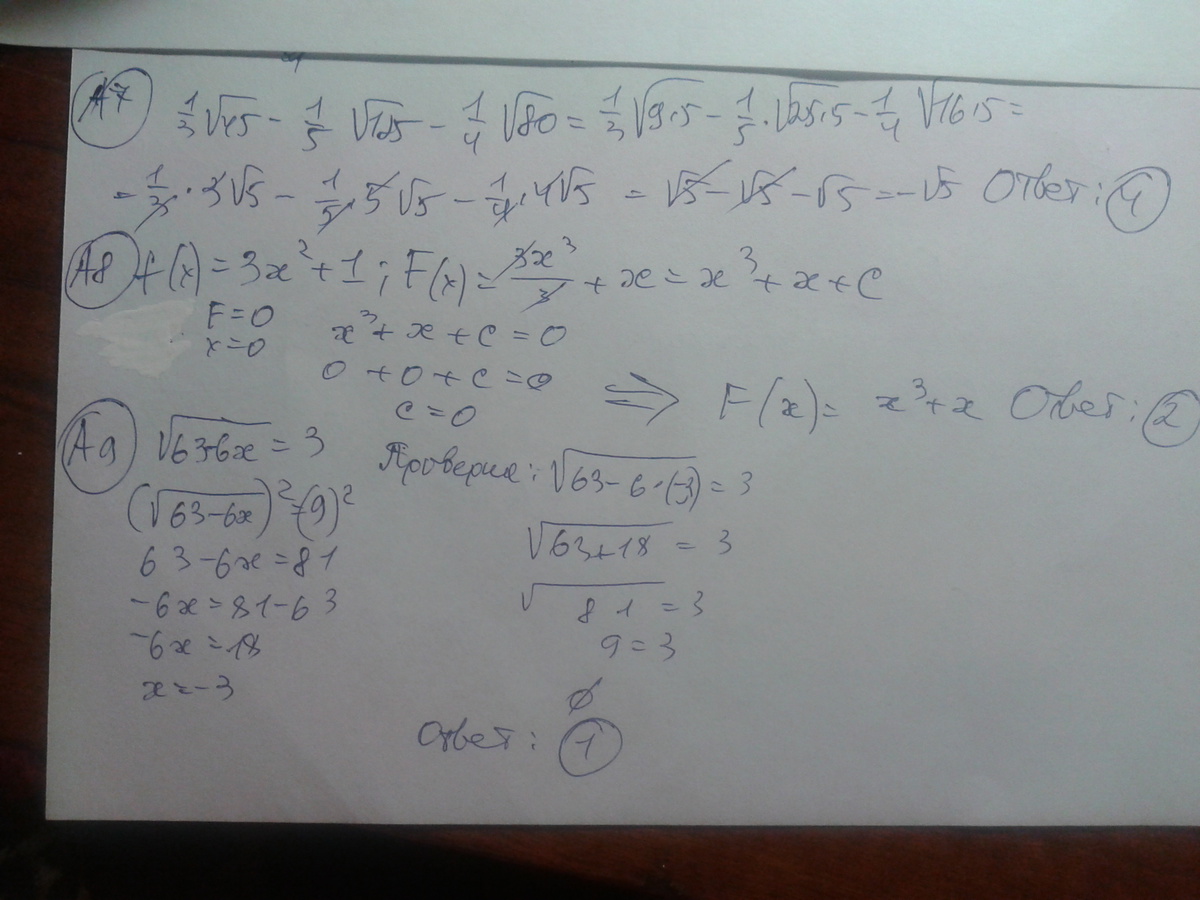
7)1/3*3√5-1/5*5√5-1/4*4√5=√5-√5-√5=-√5 4
8)F(x)=x³+x+c
0=C
F(x)=x³+x 2
9)63-6x=9
6x=63-9=54
x=9 3
10) Нет рисунка
B1)V(к)=1/3πR²h=21 V (ц)=πR²h=3*21=63
B2)2^2x-34=2^-6
2x-34=-6
2x=34-6=28
x=14
B3)AC=BD BO=1/2BD=12
SO=√SB²-BO²=√169-144=√25=5
B4)(550+15):60≈10
B5)1/2:∛4³=1/2:4=1/8
B6)cosa=√1-sin²a=√1-19/625=√576/625=24/25
C1)7x-21>0⇒7x>21⇒x>3
6x>0⇒x>0
7x-21<6x⇒7x=6x<21⇒x<21
x∈(3;21)
2)(1/7)^2x-12>(1/7)²
2x-12<2
2x<14
x<7
x∈(-≈;7) 1
3)y`=cosx-(x-3)sinx 3
4)3-
x≠81
x∈[0;81) U (81;≈) 3
5)2 1
6)1/log(13)7 :1/2log(13)7=1/log(13)7 * 2log(13)7=2 1
7)1/3*3√5-1/5*5√5-1/4*4√5=√5-√5-√5=-√5 4
8)F(x)=x³+x+c
0=C
F(x)=x³+x 2
9)63-6x=9
6x=63-9=54
x=9 3
10) Нет рисунка
B1)V(к)=1/3πR²h=21 V (ц)=πR²h=3*21=63
B2)2^2x-34=2^-6
2x-34=-6
2x=34-6=28
x=14
B3)AC=BD BO=1/2BD=12
SO=√SB²-BO²=√169-144=√25=5
B4)(550+15):60≈10
B5)1/2:∛4³=1/2:4=1/8
B6)cosa=√1-sin²a=√1-19/625=√576/625=24/25
C1)7x-21>0⇒7x>21⇒x>3
6x>0⇒x>0
7x-21<6x⇒7x=6x<21⇒x<21
x∈(3;21)
Ответ дал:
0
Решила то, что разобрала (плохо видно было).
Приложения:
Вас заинтересует
3 года назад
3 года назад
8 лет назад
8 лет назад
11 лет назад
11 лет назад