• Предмет: Алгебра
  • Автор: replika1999
  • Вопрос задан 10 лет назад

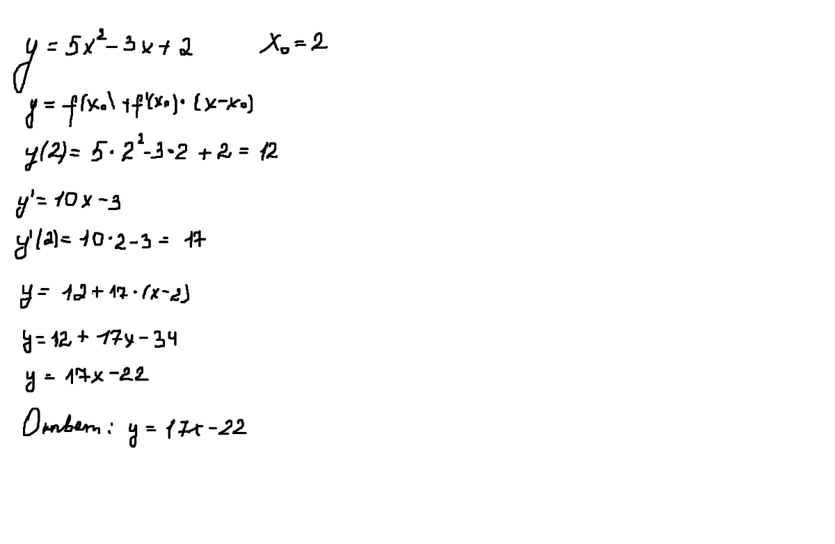
Найти угловой коэффициент касательной,проведенный к графику функции y=5x(икс в квадрате)-3х+2 в его точке с абсциссой икс ноль =2

Ответы

Ответ дал: Diba
0
Решение во вложении:::

Приложения:
Вас заинтересует