Ответы
                                            Ответ дал: 
                                                                                    
                                        
                                            
                                                
                                                
                                                
                                                    0
                                                
                                            
                                        
                                    
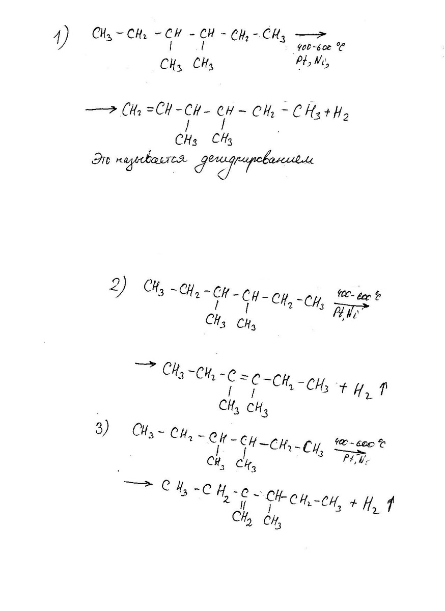
                                        Можно и побольше реакций. Я написала 3 реакции с разными конечными веществами. Только не назвала конечные вещества. Это из классов алкенов. Все реакции - реакции дегидрирования.
                                    
                                                Приложения:
                     
                            Вас заинтересует
                
                        8 лет назад
                    
                
                        10 лет назад
                    
                
                        10 лет назад