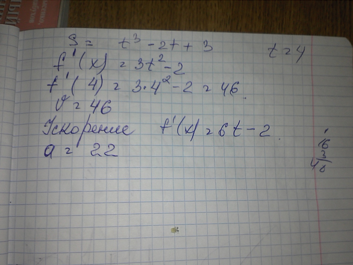
Помогите решить задачу!!! Точка движется прямолинейно по закону: S=t³-2t+3.Найти скорость ускорения и путь , пройденный точкой за 4 сек.
Ответы
Ответ дал:
0
вот вот вот вот))))))))))))))))))))))))))))))))))))))))))))))
Приложения:

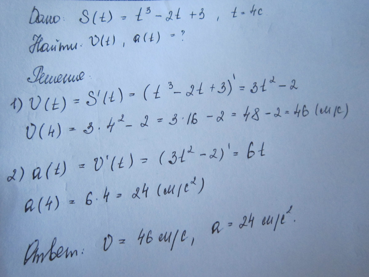
Ответ дал:
0
На фото..................)
Приложения:

Вас заинтересует
7 лет назад
7 лет назад
10 лет назад
10 лет назад
10 лет назад