• Предмет: Алгебра
  • Автор: StarLucker
  • Вопрос задан 10 лет назад

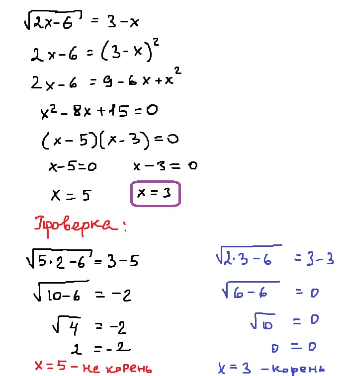
Решить уравнение корень из 2x-6=3-x После = без корня

Ответы

Ответ дал: esmilya
0
Если понравилось решение - нажимай "спасибо" и "лучший" (рядом с кнопкой "спасибо") :)
Приложения:
Вас заинтересует