• Предмет: Математика
  • Автор: jendossia
  • Вопрос задан 10 лет назад

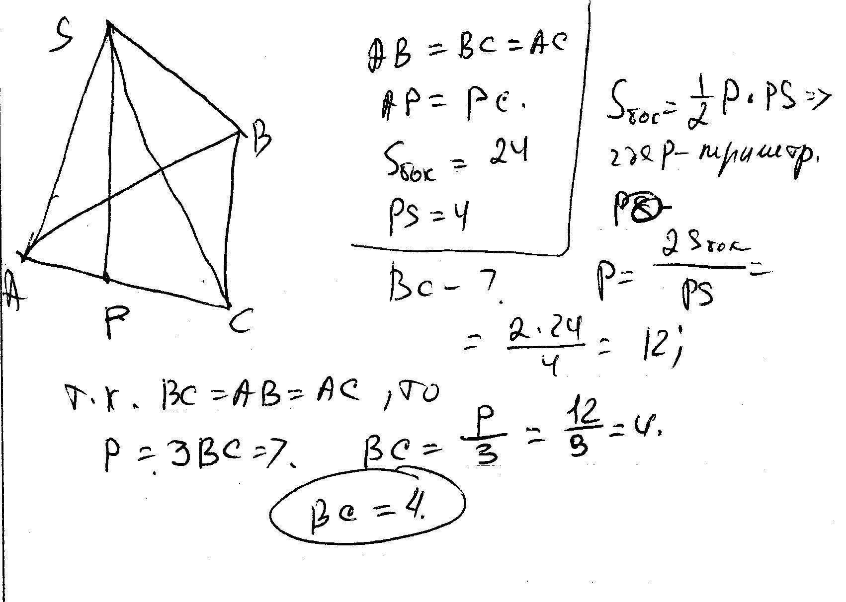
В правильной треугольной пирамиде SABC точка P - середина ребра AB, S-вершина . Известно, что SP=4,а площадь боковой поверхности равна 24. Найдите длину отрезка BC.

Приложения:

Ответы

Ответ дал: ужнеужели
0
Невероятно  интересная задача! решение в скане.............
Приложения:
Вас заинтересует