• Предмет: Алгебра
  • Автор: n1ferttite
  • Вопрос задан 10 лет назад

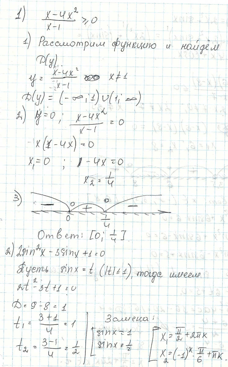
1)x-4 x^{2}/x-1 geq 0 -решите неравенство
2)2sin ^{2}x-3sin x+1=0 -решите уровнение
3)f(x)=2 x^{2} +sinx- найдите производную функции
4)
1)(x-6)(x-8)/2x-7   leq 0- решите неравенство
2)cos^{2} x+6sinx-6=0-уровнение
3)f(x)= x^{2} ln x-производная

Ответы

Ответ дал: Аноним
0
Решение во вложения, удачи.
Приложения:
Вас заинтересует