• Предмет: Математика
  • Автор: blazheev1
  • Вопрос задан 10 лет назад

Как разложить многочлен.у меня не получается делить

Приложения:

Ответы

Ответ дал: Лотарингская
0
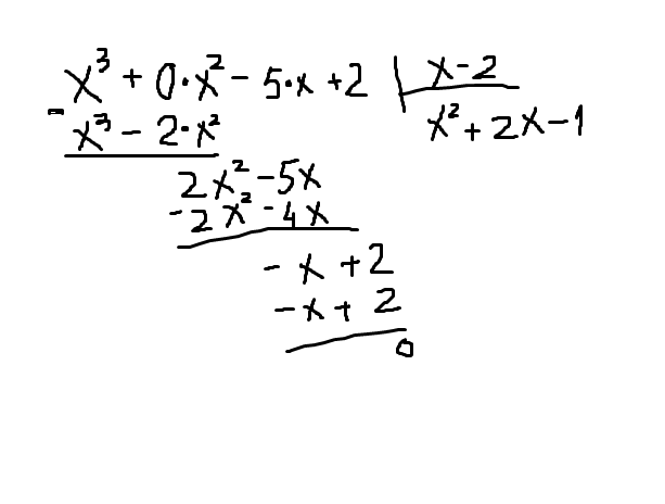
x^3-5x+2=x^3+0x^2-5x+2
Приложения:
Ответ дал: Лотарингская
0
x^3-5x+2 =0
имеет корень х=2
значит многочлен x^3-5x+2 делится без остатка на х-2
Ответ дал: Аноним
0
....................................................
Приложения:
Вас заинтересует