Ответы
Ответ дал:
0
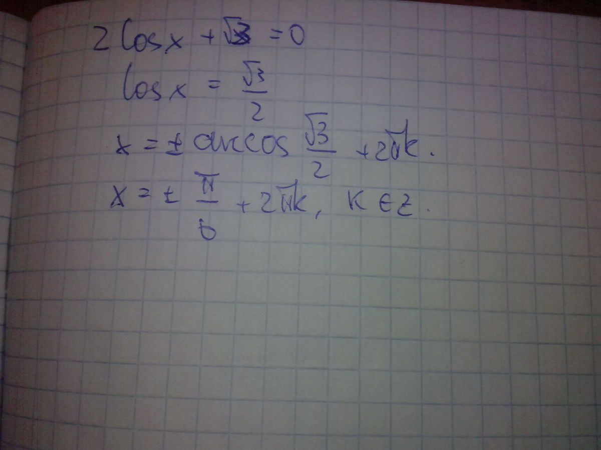
Cosx=корень из 3 деленный на2.
Х= плюс минус пи деленное на 6+ 2пК
Х= плюс минус пи деленное на 6+ 2пК
Ответ дал:
0
Ответ во вложении. Удачи!
Приложения:

Вас заинтересует
2 года назад
7 лет назад
7 лет назад
10 лет назад
10 лет назад