• Предмет: Алгебра
  • Автор: Vladimir1995
  • Вопрос задан 11 лет назад

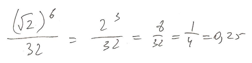
В числители скобочка открывается из под корня два, скобочка закрывается, вся скобка в шестой степени, в знаменатели 32 ...

Ответы

Ответ дал: Artem112
0

значит скобочка открывается, знак корня и далее по картиночке...

Приложения:
Вас заинтересует