• Предмет: Алгебра
  • Автор: 1Arishka1
  • Вопрос задан 11 лет назад

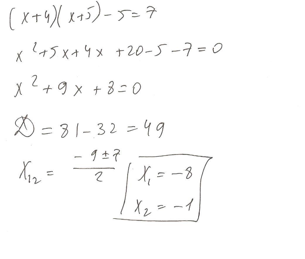
Пожалуйста прошу все кто могут решите неравенство))) ПОЖАЛУЙСТА)))))!!!! ( х+4 )( х+5 )-5= 7

Ответы

Ответ дал: Artem112
0

в чем заключается суть, вы просите решить нераенство в то время как записано уравнение????? я решал уравнение, а дальше сами разбирайтесь

Приложения:
Вас заинтересует