• Предмет: Математика
  • Автор: Ziglos
  • Вопрос задан 10 лет назад

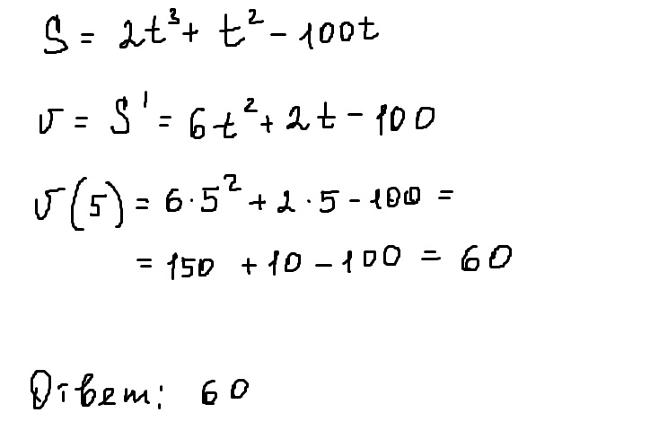
поезд движется по закону s=2t ^3+t^2-100t Определить скорость поезда к концу пятой минуты

Ответы

Ответ дал: esmilya
0
Если понравилось решение - нажимай "спасибо" и "лучший" (рядом с кнопкой "спасибо") :)
Приложения:
Вас заинтересует