Ответы
Ответ дал:
0
Если понравилось решение - нажимай "спасибо" и "лучший" (рядом с кнопкой "спасибо") :)
Приложения:

Ответ дал:
0
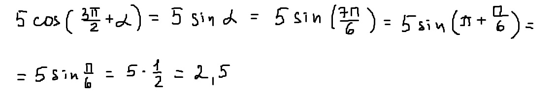
5 cos ( frac{3 pi }{2} + frac{7 pi }{6} )=5 cos ( frac{9 pi }{6} + frac{7 pi }{6} )=5 cos ( frac{16 pi }{6} )=5 cos ( frac{ pi }{3} )=5* frac{1}{2} =2.5[/tex]
Приложения:

Вас заинтересует
2 года назад
2 года назад
7 лет назад
7 лет назад
10 лет назад
10 лет назад
10 лет назад