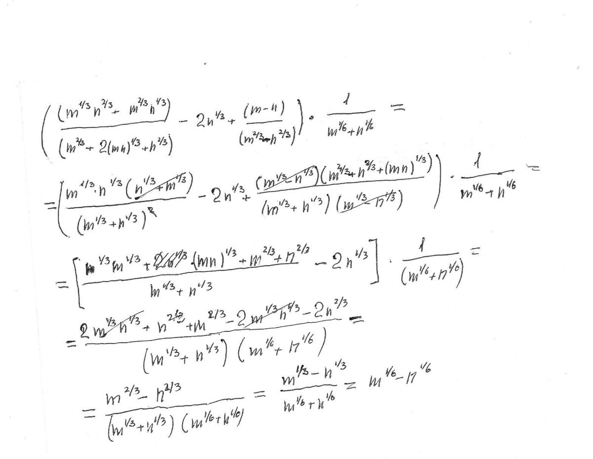
( ( ∛mn² + ∛m²n) / ( ∛m² + 2∛mn +∛n²) - 2∛n + (m-n) / (∛m²- ∛n²) ) * 1/ (√m +√n) помогите решить
(√m +√n) в этом выражении оба √ (корня) в 6 степени
Ответы
Ответ дал:
0
m^(1/6)-n^(1/6); решение в файле.................
Приложения:
Вас заинтересует
3 года назад
3 года назад
8 лет назад
8 лет назад
11 лет назад
11 лет назад
11 лет назад