• Предмет: Химия
  • Автор: olegzavalkin95
  • Вопрос задан 10 лет назад

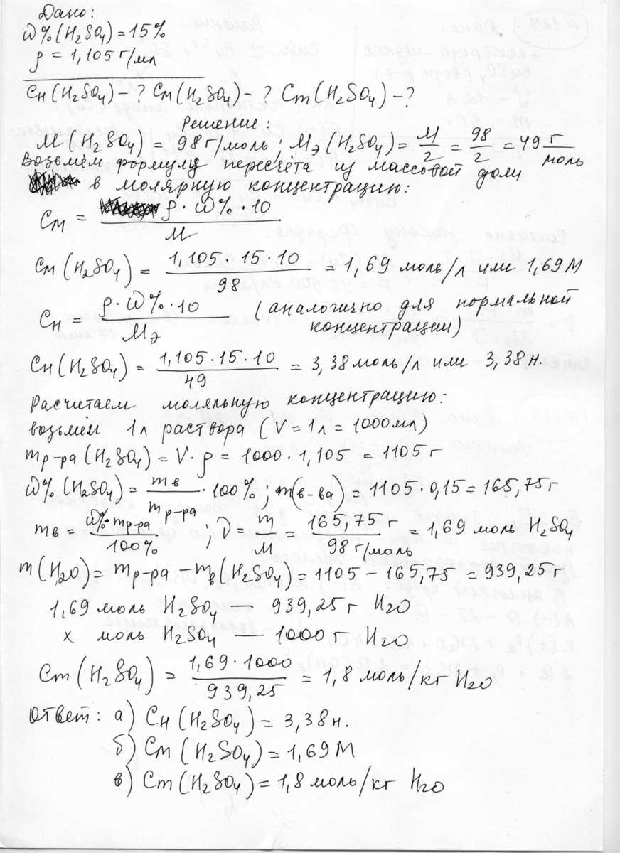
. Плотность 15%-ного (по массе) раствора H2SO4 равна 1,105 г/мл. Вычислить: а) нормальность; б) молярность; в) моляльность раствора.

Ответы

Ответ дал: vikuka
0
Решение задачи во вложении
Приложения:
Вас заинтересует