Ответы
Ответ дал:
0
Ответ во вложении. Удачи!
Приложения:

Ответ дал:
0
Эт не уравнение , а просто сложить
Ответ дал:
0
просто сложить не получится
Ответ дал:
0
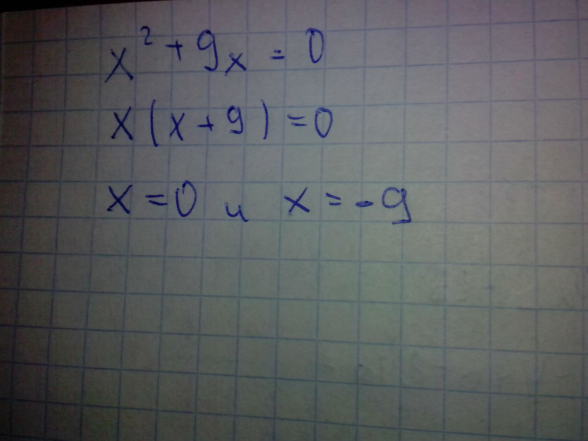
х в кв +9*х=0
х*(х+9)=0
х=0 или х+9=0,х=-9
если просто привести к подобным тогда
х в кв +9*х=х*(х+9)
х*(х+9)=0
х=0 или х+9=0,х=-9
если просто привести к подобным тогда
х в кв +9*х=х*(х+9)
Приложения:

Ответ дал:
0
А так как х в кв,а тот просто х...там не складывается
Ответ дал:
0
Во) Просто всм эт часть уравнения , и это левая часть x^2+9x=22
10x^2=22 ????
10x^2=22 ????
Ответ дал:
0
х+х=2х..я еще понимаю..Но х в кв +9х как сложить и получить тот бред ,извините нет
Ответ дал:
0
Х в кв +9х=22, х2+9х-22=0,Д=81-4*(-22)=81+88=169=13 в кв, первый корень х1=-9-132=-11,второй корень х2=-9+132=2...Вот так решение я понимаю
Вас заинтересует
2 года назад
2 года назад
7 лет назад
7 лет назад
10 лет назад
10 лет назад