Ответы
Ответ дал:
0
если равно все нулю то
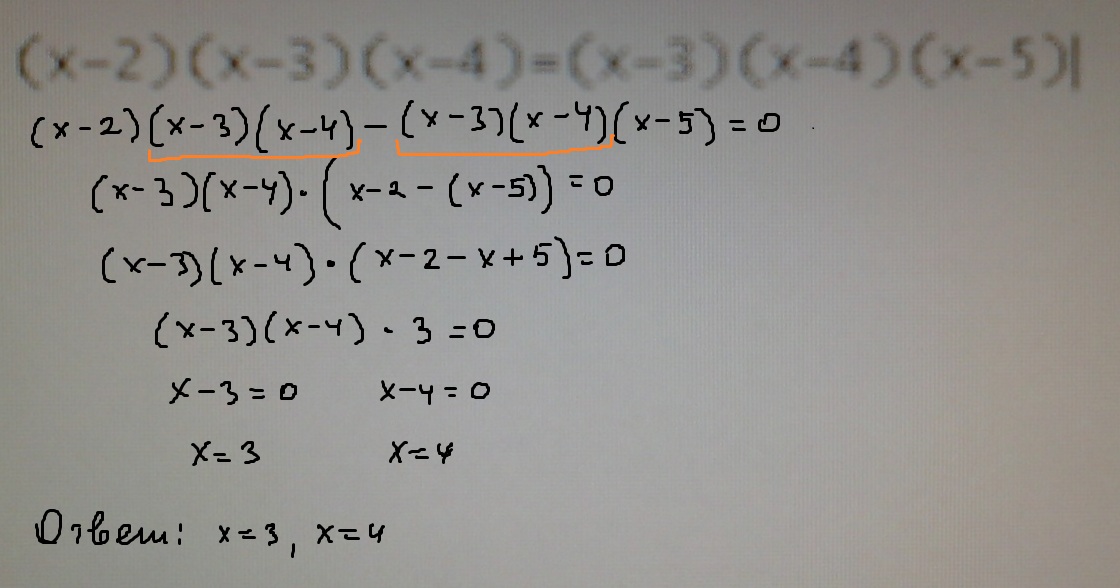
выносим за скобку множители (x-3)(x-4)
(x-3)(x-4)(x-2-(x-5))=0
(x-3)(x-4)*3=0
то ответ x=3 и x=4
выносим за скобку множители (x-3)(x-4)
(x-3)(x-4)(x-2-(x-5))=0
(x-3)(x-4)*3=0
то ответ x=3 и x=4
Ответ дал:
0
Если понравилось решение - нажимай "спасибо" и "лучший" (рядом с кнопкой "спасибо") :)
Приложения:

Вас заинтересует
2 года назад
2 года назад
7 лет назад
10 лет назад
10 лет назад
10 лет назад