Ответы
Ответ дал:
0
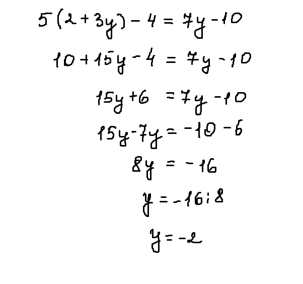
Если понравилось решение - нажимай "спасибо" и "лучший" (рядом с кнопкой "спасибо") :)
Приложения:

Ответ дал:
0
Приложения:

Ответ дал:
0
http://znanija.com/task/6806069 помогите)
Вас заинтересует
2 года назад
2 года назад
7 лет назад
7 лет назад
10 лет назад