• Предмет: Математика
  • Автор: kotikov1996
  • Вопрос задан 10 лет назад

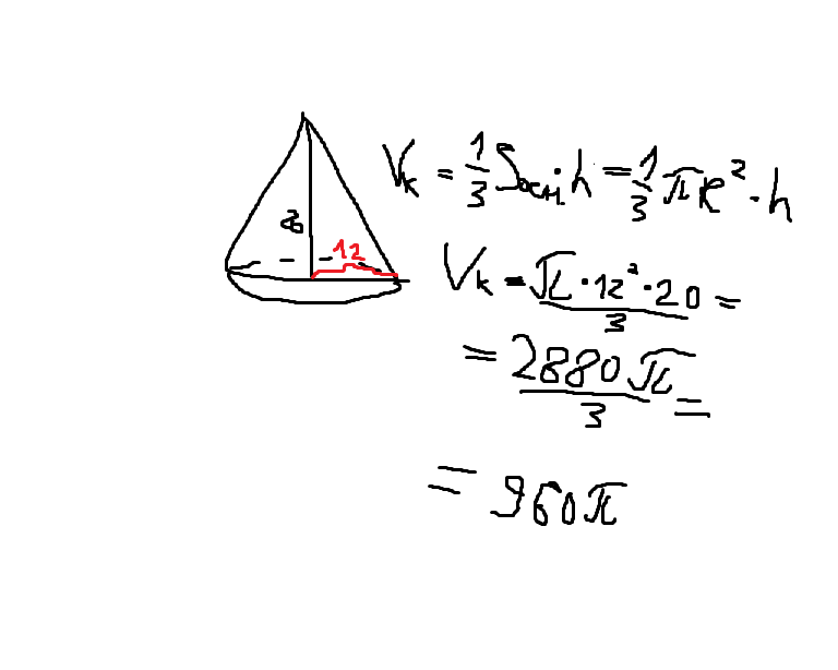
Высота конуса равна 20 см,расстояние от центра основания до образующей равно 12 см.Найдите объём конуса

Ответы

Ответ дал: TheKratos
0
Высота конуса равна 20 см,расстояние от центра основания до образующей равно 12 см.Найдите объём конуса
Приложения:
Вас заинтересует