• Предмет: Алгебра
  • Автор: dbdatoshka
  • Вопрос задан 10 лет назад

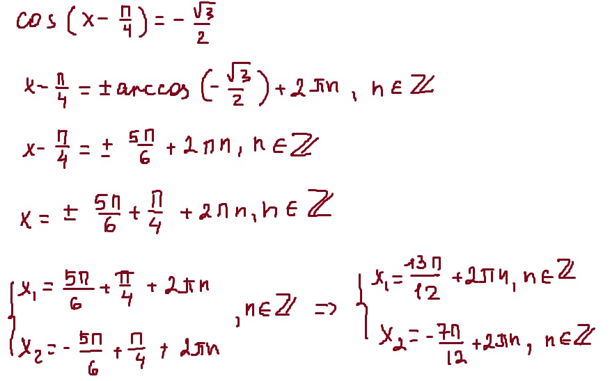
cos ( x - п/4 ) = минус корень из 3/2

Ответы

Ответ дал: cool6991energ
0
cos(x- frac{ pi}{4} )=- frac{ sqrt{3} }{2} 
\ x- frac{ pi}{4}=+-( pi -arccos frac{ sqrt{3} }{2} )+2 pi n
 \ x- frac{ pi}{4}=+- frac{5 pi }{6} +2 pi n
 \ x=+- frac{5 pi }{6} + frac{ pi }{4} +2 pi n
Ответ дал: esmilya
0
Если понравилось решение - нажимай "спасибо" и "лучший" (рядом с кнопкой "спасибо") :)
Приложения:
Вас заинтересует