• Предмет: Алгебра
  • Автор: anastasuya2701
  • Вопрос задан 10 лет назад

Решить неравенство методом интервалов:
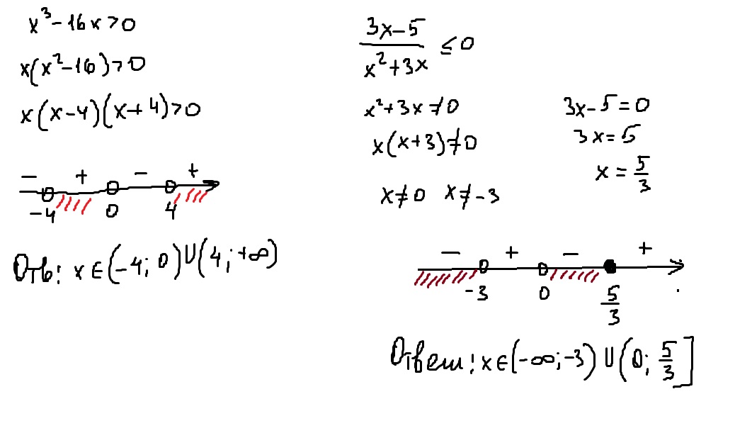
а) x^3-16x>0
x(x^2-16)>0
x(x+4)(x-4)>0, так?

б) (3x-5)/(x^2+3x) leq 0

Ответы

Ответ дал: irinan2014
0
В знаменателе всегда выкалываем точки,т.к. на 0 нельзя делить.
Приложения:
Ответ дал: esmilya
0
Если понравилось решение - нажимай "спасибо" и "лучший" (рядом с кнопкой "спасибо") :)
Приложения:
Вас заинтересует