Циклические алгоритмы и разработка программы
Циклы с параметрами
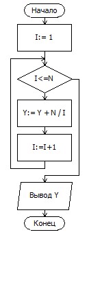
Разработать схему алгоритма (блок схему), написать программный код на языке паскаль, используя оператор FOR.
Приложения:
Ответы
Ответ дал:
0
const
n = 7;
var
y: real;
i: integer;
begin
for i := 1 to n do
y := y + n / i;
writeln(y);
end.
n = 7;
var
y: real;
i: integer;
begin
for i := 1 to n do
y := y + n / i;
writeln(y);
end.
Приложения:
Вас заинтересует
3 года назад
3 года назад
8 лет назад
11 лет назад
11 лет назад
11 лет назад