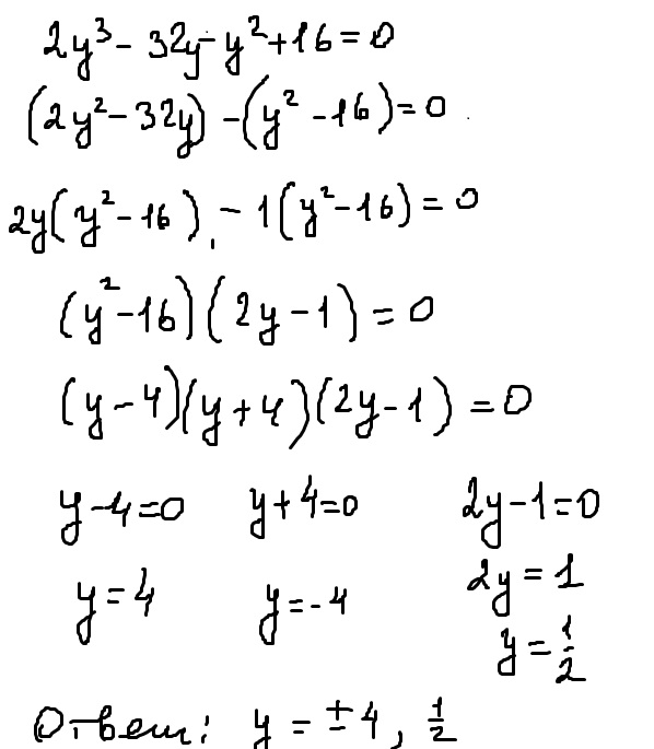
2y3-32-y2+16=0
Два игрик в кубе минус тридцать два минус игрик в квадрате плюс шестнадцать равно ноль
Ответы
Ответ дал:
0
Если понравилось решение - нажимай "спасибо" и "лучший" (рядом с кнопкой "спасибо") :)
Приложения:

Ответ дал:
0
таааааааааак, сейчас подумаю
Ответ дал:
0
Вот у меня так именно и не получается, т.к. группировка другая(
Ответ дал:
0
а остальное все правильно?
Ответ дал:
0
там целых корней нет!
Вас заинтересует
2 года назад
7 лет назад
7 лет назад
10 лет назад
10 лет назад
10 лет назад