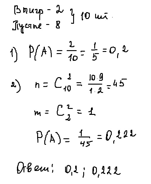
Из 10 билетов выигрышными являются 2.определить вероятность того ,что среди взятых на удачу билетов:
а)один выигрышный;
б)оба выигрышных
Ответы
Ответ дал:
7
Решениееееееееееееееее
Приложения:

karolina2323:
спасибо)
Вас заинтересует
2 года назад
2 года назад
2 года назад
2 года назад
7 лет назад
7 лет назад
9 лет назад