Ответы
Ответ дал:
0
..............................
Приложения:
Ответ дал:
0
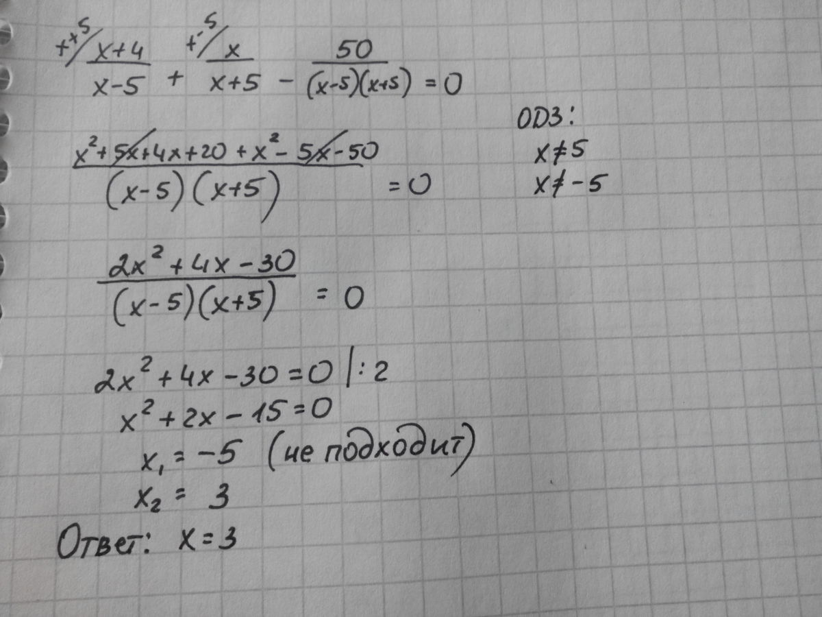
(х+4)(х+5)+х(х-5)=50
х²+4х+5х+20+х²-5х-50=0
2х²+4х-30=0
х²+2х-15=0
D=4-4*(-15)=64=8²
х1=(-2-8)/2=-5 (не подходит)
х2=(-2+8)/2=3
х²+4х+5х+20+х²-5х-50=0
2х²+4х-30=0
х²+2х-15=0
D=4-4*(-15)=64=8²
х1=(-2-8)/2=-5 (не подходит)
х2=(-2+8)/2=3
Приложения:
Вас заинтересует
3 года назад
3 года назад
8 лет назад
8 лет назад
10 лет назад
11 лет назад