• Предмет: Математика
  • Автор: Аноним
  • Вопрос задан 10 лет назад

помогите)))))))))))))))))))))подробно

Приложения:

Ответы

Ответ дал: Maya121998
0
...................................
Приложения:
Ответ дал: mmb1
0
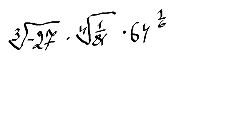
 sqrt[3]{-27}  sqrt[4]{ frac{1}{81} }* 64^{ frac{1}{6} = \  sqrt[3]{(-3)^3}  sqrt[4]{( frac{1}{3})^{4} }  sqrt[6]{2^6} =-3* frac{1}{3}*3=-2
Приложения:
Вас заинтересует