• Предмет: Алгебра
  • Автор: irishka1660
  • Вопрос задан 10 лет назад

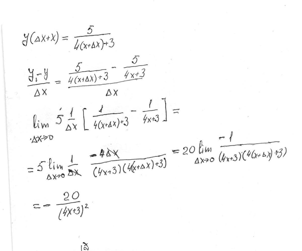
найти производную функцию по определению производной
y=5/(4x+3)

Ответы

Ответ дал: Опыт
0
решение в файле, от вас в качестве благодарности "Лучшее"
Приложения:
Вас заинтересует