• Предмет: Математика
  • Автор: masha374922
  • Вопрос задан 10 лет назад

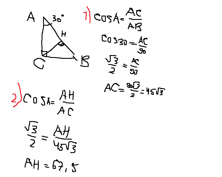
в треугольнике АВС угол С равен 90 градусов,СН-высота,угол А равен 30 градусов,АВ=90.Найдите АН

Ответы

Ответ дал: TheKratos
0
Сначала рассматриваем треугольник ABC и находим AC, потом рассматриваем треуг AHC и находим AH.
cos это отношение прилежащего катета к гипотенузе
Приложения:
Вас заинтересует