Помогите, плж. Я выводила х, просто пыталась посчитать, но выходит какая-то несуразная фигня.. вот вам для проверки правильный ответ: 14.
Найти х, если:
Приложения:

Ответы
Ответ дал:
0
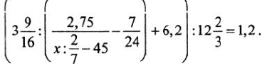
(3 9/16:(......)+6.2)=1.2*12 2/3
(3 9/16:(......)+6.2)=12/10*38/3
(3 9/16:(......)+6.2)=76/5
3 9/16:(......)=76/5-6.2
3 9/16:(......)=76/5-31/5
3 9/16:(......)=45/5=9
(2.75/x...-7/24)=3 9/16:9
(2.75/x...-7/24)=57/16:9=19/48
2.75/(x:2/7-45)=19/48+7/24
2.75/(x:2/7-45)=19/48+14/28=33/48=11/16
x:2/7-45=2.75:11/16
x:2/7-45=55/20*16/11=4
x:2/7=4+45
x:2/7=49
x=49*2/7
x=14
Ответ дал:
0
(2.75/x...-7/24)=3 9/16:9 - вот с этого момента. как так получилось перенести в другую сторону с делением, то есть, получается, что : (2.75/x...-7/24)=3 9/16*9
Вас заинтересует
2 года назад
2 года назад
7 лет назад
7 лет назад
10 лет назад
10 лет назад
10 лет назад