Ответы
Ответ дал:
0
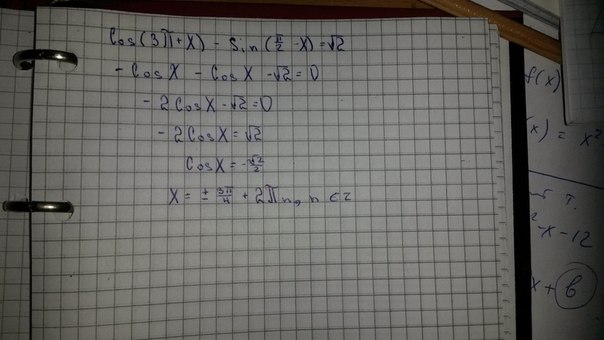
у меня получилось вот так
Приложения:

Ответ дал:
0
тоже
Ответ дал:
0
cos (3π+x) = -cosx - переход к острым углам, и в 3четверти (знак минус)
sinx (π/2-x) = cosx - переход к острым углам, и в 1 четверти (знак +)

sinx (π/2-x) = cosx - переход к острым углам, и в 1 четверти (знак +)
Приложения:

Вас заинтересует
2 года назад
2 года назад
7 лет назад
7 лет назад
10 лет назад
10 лет назад
10 лет назад