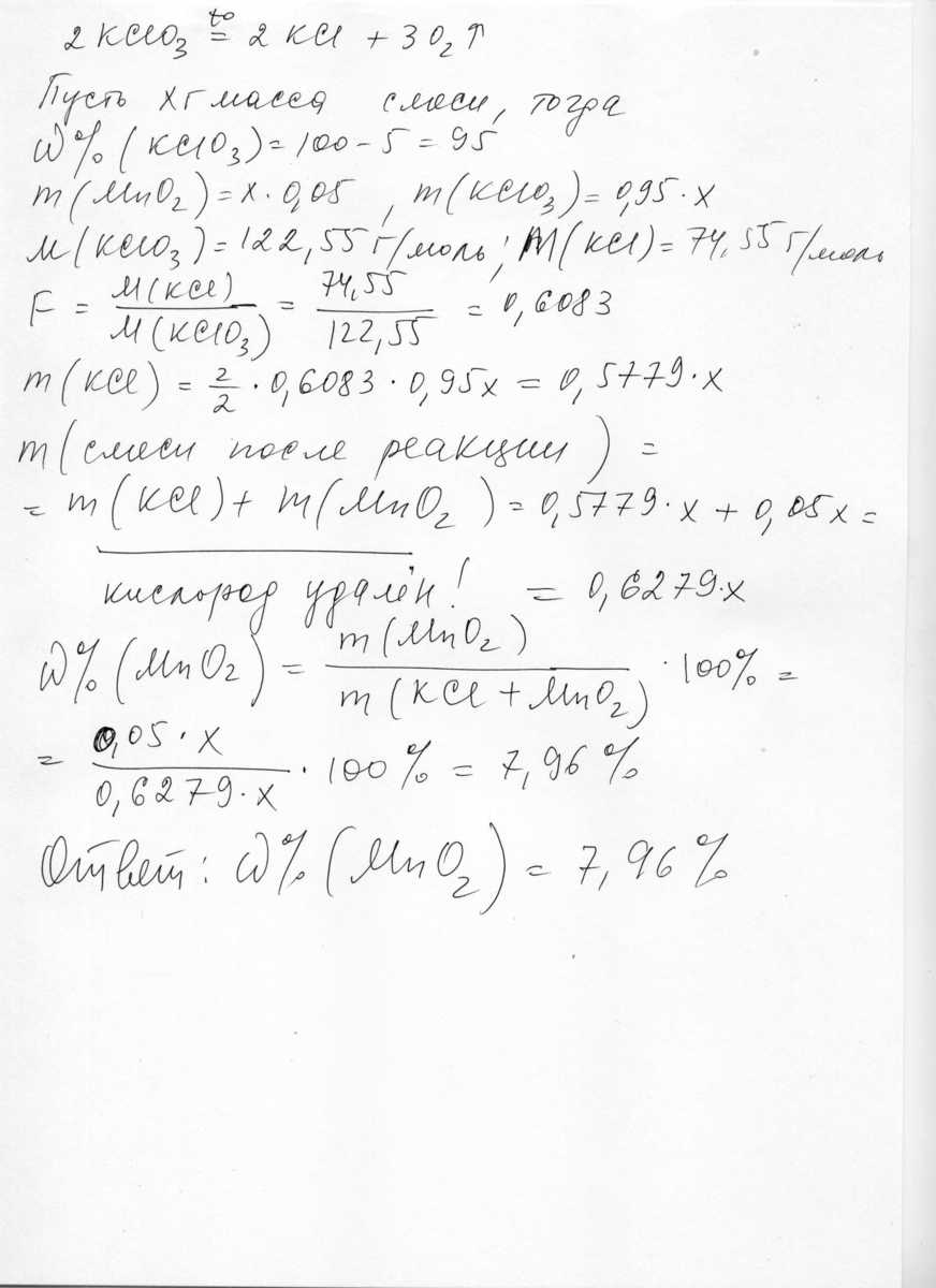
Для получения кислорода приготовили смесь, содержащую бертолетову соль KClO3 и катализатор – оксид марганца (IV), масса которого составила 5% от массы смеси. Смесь прокалили. Чему будет равна массовая доля катализатора в твердом остатке после полного разложения бертолетовой соли?
Ответы
Ответ дал:
0
Решение задачи во вложении
Приложения:

Вас заинтересует
2 года назад
7 лет назад
7 лет назад
10 лет назад
10 лет назад
10 лет назад