основания равнобедренной трапеции равны 18 и 23 а её боковые стороны 13. найдите площадь трапеции
Ответы
                                            Ответ дал: 
                                                                                    
                                        
                                            
                                                
                                                
                                                
                                                    0
                                                
                                            
                                        
                                    
                                        площадь равнобедр. трап. через стороны: S = (a + b)/2 * КОРЕНЬ( c^2 - (a^2 - b^2)/4 ), где a - нижнее основание, b - верхнее (меньшее по длине), с - сторона боковая
Получилось 261.53
                                        
                                        
                                Получилось 261.53
                                            Ответ дал: 
                                                                                    
                                        
                                            
                                                
                                                
                                                
                                                    0
                                                
                                            
                                        
                                    
                                        спасибо большое)
                                    
                                        
                                        
                                
                                            Ответ дал: 
                                                                                    
                                        
                                            
                                                
                                                
                                                
                                                    0
                                                
                                            
                                        
                                    
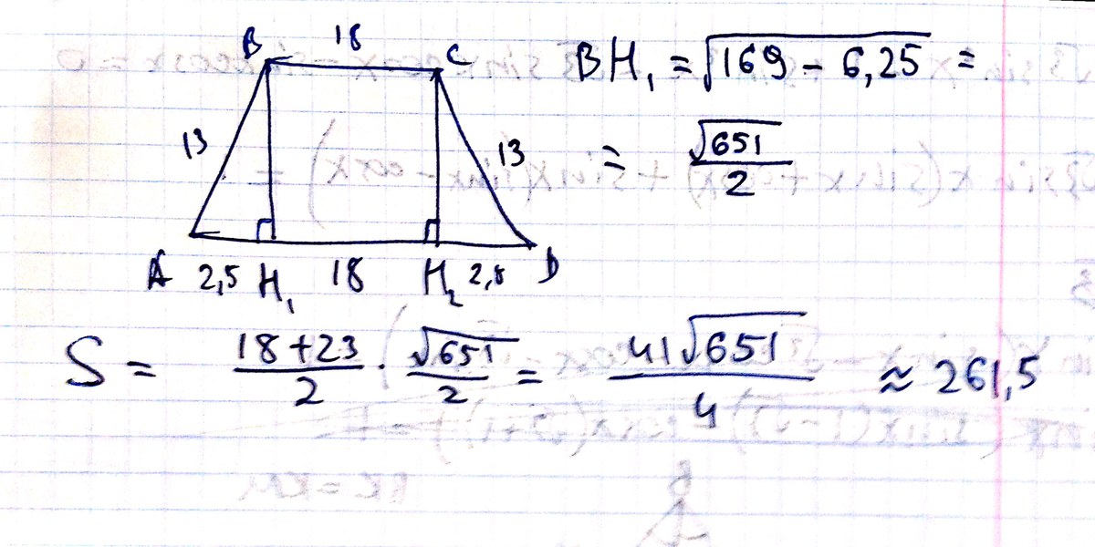
                                        Опустим две высоты и найдем катет прямоугольного треугольника
                                    
                                                Приложения:
                    
                            Вас заинтересует
                
                        2 года назад
                    
                
                        8 лет назад
                    
                
                        10 лет назад
                    
                
                        10 лет назад