• Предмет: Алгебра
  • Автор: tatpostnikova2
  • Вопрос задан 10 лет назад

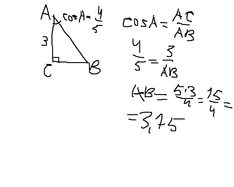
в треугольнике авс угол С равен 90 градусов, косинус А равен 4/5 ВС равна 3. найти АВ

Ответы

Ответ дал: TheKratos
0
cos=отношению прилежащего катета к гипотенузе
Приложения:
Вас заинтересует