Ответы
Ответ дал:
0
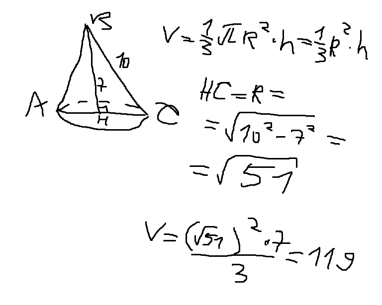
высота конуса равна 7 образующая равна 10. найдите его объем деленный на П
Приложения:

Вас заинтересует
2 года назад
7 лет назад
7 лет назад
10 лет назад
10 лет назад
10 лет назад